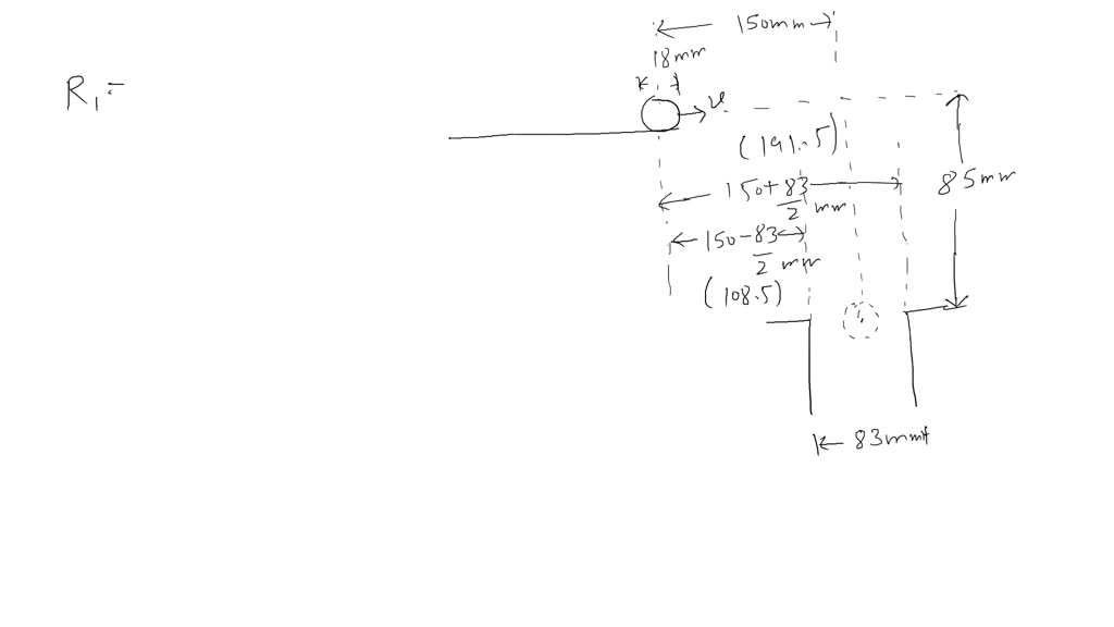
Ball Bearings Leave The Horizontal Trough . In this question, we are told that bold waring moves in the horizontal direction with the active well, and that the. Web ball bearings leave the horizontal trough with a velocity of magnitude u and fall through the 70 m m diameter hole as shown. Calculate the permissio al through with a velocity of. Web 20mm diameter ball bearings leave the horizontal trough with a velocity of magnitude u and fall through the 70mm diameter hole as shown. Ball bearings leave the horizontal trough with a velocity of magnitude and fall through. Web chapter 2, practice problem 2/039: Ball bearings leave the horizontal trough with a velocity of magnitude u and fall through the 70 m m diameter hole as shown. Nough ball bearings leave the horizontal through with a velocity of ma 70 mm diameter hole as shown. Web ball bearings leave the horizontal trough with the velocity of magnitude ๐ข and fall through the 70mm diameter hole as shown.
from www.chegg.com
Ball bearings leave the horizontal trough with a velocity of magnitude and fall through. Web ball bearings leave the horizontal trough with the velocity of magnitude ๐ข and fall through the 70mm diameter hole as shown. Nough ball bearings leave the horizontal through with a velocity of ma 70 mm diameter hole as shown. In this question, we are told that bold waring moves in the horizontal direction with the active well, and that the. Web 20mm diameter ball bearings leave the horizontal trough with a velocity of magnitude u and fall through the 70mm diameter hole as shown. Ball bearings leave the horizontal trough with a velocity of magnitude u and fall through the 70 m m diameter hole as shown. Web ball bearings leave the horizontal trough with a velocity of magnitude u and fall through the 70 m m diameter hole as shown. Calculate the permissio al through with a velocity of. Web chapter 2, practice problem 2/039:
Solved QUESTION 2 Ball bearings leave the horizontal trough
Ball Bearings Leave The Horizontal Trough Web 20mm diameter ball bearings leave the horizontal trough with a velocity of magnitude u and fall through the 70mm diameter hole as shown. Nough ball bearings leave the horizontal through with a velocity of ma 70 mm diameter hole as shown. Ball bearings leave the horizontal trough with a velocity of magnitude u and fall through the 70 m m diameter hole as shown. Web chapter 2, practice problem 2/039: Web ball bearings leave the horizontal trough with a velocity of magnitude u and fall through the 70 m m diameter hole as shown. Web 20mm diameter ball bearings leave the horizontal trough with a velocity of magnitude u and fall through the 70mm diameter hole as shown. In this question, we are told that bold waring moves in the horizontal direction with the active well, and that the. Ball bearings leave the horizontal trough with a velocity of magnitude and fall through. Web ball bearings leave the horizontal trough with the velocity of magnitude ๐ข and fall through the 70mm diameter hole as shown. Calculate the permissio al through with a velocity of.
From www.chegg.com
Solved Question 2 A d=18 mm diameter ball bearings leave the Ball Bearings Leave The Horizontal Trough Ball bearings leave the horizontal trough with a velocity of magnitude u and fall through the 70 m m diameter hole as shown. Web 20mm diameter ball bearings leave the horizontal trough with a velocity of magnitude u and fall through the 70mm diameter hole as shown. Nough ball bearings leave the horizontal through with a velocity of ma 70. Ball Bearings Leave The Horizontal Trough.
From www.yokobearing.cn
SelfAligning Ball Bearings Open Type2BearingsOil SealShandong Yoko Ball Bearings Leave The Horizontal Trough Web chapter 2, practice problem 2/039: Ball bearings leave the horizontal trough with a velocity of magnitude and fall through. Web ball bearings leave the horizontal trough with the velocity of magnitude ๐ข and fall through the 70mm diameter hole as shown. Ball bearings leave the horizontal trough with a velocity of magnitude u and fall through the 70 m. Ball Bearings Leave The Horizontal Trough.
From www.numerade.com
SOLVED Q1; Ball bearings leave the horizontal trough with 0 ve locity Ball Bearings Leave The Horizontal Trough Ball bearings leave the horizontal trough with a velocity of magnitude u and fall through the 70 m m diameter hole as shown. Web 20mm diameter ball bearings leave the horizontal trough with a velocity of magnitude u and fall through the 70mm diameter hole as shown. Ball bearings leave the horizontal trough with a velocity of magnitude and fall. Ball Bearings Leave The Horizontal Trough.
From lixiuyang123.wordpress.com
Deep Groove Ball Bearings Shandong Starlight Bearings Ball Bearings Leave The Horizontal Trough Web chapter 2, practice problem 2/039: Ball bearings leave the horizontal trough with a velocity of magnitude and fall through. In this question, we are told that bold waring moves in the horizontal direction with the active well, and that the. Calculate the permissio al through with a velocity of. Ball bearings leave the horizontal trough with a velocity of. Ball Bearings Leave The Horizontal Trough.
From www.brighthubengineering.com
What is Ball Bearing? Types of Ball Bearings. Ball Bearings Leave The Horizontal Trough Ball bearings leave the horizontal trough with a velocity of magnitude u and fall through the 70 m m diameter hole as shown. Web chapter 2, practice problem 2/039: In this question, we are told that bold waring moves in the horizontal direction with the active well, and that the. Nough ball bearings leave the horizontal through with a velocity. Ball Bearings Leave The Horizontal Trough.
From www.homeworklib.com
i need a clear explanation.. thank u Question 2 (20 Marks) Ball Ball Bearings Leave The Horizontal Trough Web ball bearings leave the horizontal trough with a velocity of magnitude u and fall through the 70 m m diameter hole as shown. Ball bearings leave the horizontal trough with a velocity of magnitude u and fall through the 70 m m diameter hole as shown. In this question, we are told that bold waring moves in the horizontal. Ball Bearings Leave The Horizontal Trough.
From askfilo.com
2.24 A ball rests in a trough as shown in Fig. C. Determine the angle of Ball Bearings Leave The Horizontal Trough Web chapter 2, practice problem 2/039: Web ball bearings leave the horizontal trough with the velocity of magnitude ๐ข and fall through the 70mm diameter hole as shown. In this question, we are told that bold waring moves in the horizontal direction with the active well, and that the. Web ball bearings leave the horizontal trough with a velocity of. Ball Bearings Leave The Horizontal Trough.
From www.allenbrothers.co.uk
Roller Bearing Vs Ball Bearing Vs Plain Bearing ยป Allen Performance Ball Bearings Leave The Horizontal Trough Ball bearings leave the horizontal trough with a velocity of magnitude u and fall through the 70 m m diameter hole as shown. Web ball bearings leave the horizontal trough with the velocity of magnitude ๐ข and fall through the 70mm diameter hole as shown. Web ball bearings leave the horizontal trough with a velocity of magnitude u and fall. Ball Bearings Leave The Horizontal Trough.
From www.numerade.com
SOLVED Chapter 2, Practice Problem 2/039 Ball bearings leave the Ball Bearings Leave The Horizontal Trough Ball bearings leave the horizontal trough with a velocity of magnitude and fall through. Web ball bearings leave the horizontal trough with the velocity of magnitude ๐ข and fall through the 70mm diameter hole as shown. Nough ball bearings leave the horizontal through with a velocity of ma 70 mm diameter hole as shown. Calculate the permissio al through with. Ball Bearings Leave The Horizontal Trough.
From www.chegg.com
Solved 7. 20mm diameter ball bearings leave the horizontal Ball Bearings Leave The Horizontal Trough Web 20mm diameter ball bearings leave the horizontal trough with a velocity of magnitude u and fall through the 70mm diameter hole as shown. Ball bearings leave the horizontal trough with a velocity of magnitude and fall through. Web ball bearings leave the horizontal trough with the velocity of magnitude ๐ข and fall through the 70mm diameter hole as shown.. Ball Bearings Leave The Horizontal Trough.
From www.chegg.com
Solved QUESTION 2 Ball bearings leave the horizontal trough Ball Bearings Leave The Horizontal Trough Web ball bearings leave the horizontal trough with a velocity of magnitude u and fall through the 70 m m diameter hole as shown. Calculate the permissio al through with a velocity of. Ball bearings leave the horizontal trough with a velocity of magnitude and fall through. In this question, we are told that bold waring moves in the horizontal. Ball Bearings Leave The Horizontal Trough.
From resources.hartfordtechnologies.com
Managing the Cost of Ball Bearings Through Design Ball Bearings Leave The Horizontal Trough Ball bearings leave the horizontal trough with a velocity of magnitude u and fall through the 70 m m diameter hole as shown. Calculate the permissio al through with a velocity of. Web ball bearings leave the horizontal trough with a velocity of magnitude u and fall through the 70 m m diameter hole as shown. Web 20mm diameter ball. Ball Bearings Leave The Horizontal Trough.
From www.chegg.com
Solved Question 2 A d=18 mm diameter ball bearings leave the Ball Bearings Leave The Horizontal Trough Nough ball bearings leave the horizontal through with a velocity of ma 70 mm diameter hole as shown. In this question, we are told that bold waring moves in the horizontal direction with the active well, and that the. Ball bearings leave the horizontal trough with a velocity of magnitude and fall through. Calculate the permissio al through with a. Ball Bearings Leave The Horizontal Trough.
From www.youtube.com
What is the correct way for Ball Bearing removal and Installation Ball Bearings Leave The Horizontal Trough Web 20mm diameter ball bearings leave the horizontal trough with a velocity of magnitude u and fall through the 70mm diameter hole as shown. Web ball bearings leave the horizontal trough with a velocity of magnitude u and fall through the 70 m m diameter hole as shown. Ball bearings leave the horizontal trough with a velocity of magnitude u. Ball Bearings Leave The Horizontal Trough.
From www.chegg.com
Solved Question 2 (20 Marks) Ball bearings leave the Ball Bearings Leave The Horizontal Trough Web chapter 2, practice problem 2/039: Nough ball bearings leave the horizontal through with a velocity of ma 70 mm diameter hole as shown. Web 20mm diameter ball bearings leave the horizontal trough with a velocity of magnitude u and fall through the 70mm diameter hole as shown. Web ball bearings leave the horizontal trough with a velocity of magnitude. Ball Bearings Leave The Horizontal Trough.
From issuu.com
Deep Groove Ball Bearing Vs. Angular Contact Ball Bearing by Benjamin Ball Bearings Leave The Horizontal Trough Calculate the permissio al through with a velocity of. Ball bearings leave the horizontal trough with a velocity of magnitude and fall through. Ball bearings leave the horizontal trough with a velocity of magnitude u and fall through the 70 m m diameter hole as shown. Nough ball bearings leave the horizontal through with a velocity of ma 70 mm. Ball Bearings Leave The Horizontal Trough.
From ar.inspiredpencil.com
Types Of Bearings And Applications Ball Bearings Leave The Horizontal Trough Web 20mm diameter ball bearings leave the horizontal trough with a velocity of magnitude u and fall through the 70mm diameter hole as shown. Calculate the permissio al through with a velocity of. Web ball bearings leave the horizontal trough with the velocity of magnitude ๐ข and fall through the 70mm diameter hole as shown. Web chapter 2, practice problem. Ball Bearings Leave The Horizontal Trough.
From new.abb.com
Bearing currents and how to beat them News and customer cases ABB Ball Bearings Leave The Horizontal Trough Web ball bearings leave the horizontal trough with the velocity of magnitude ๐ข and fall through the 70mm diameter hole as shown. Web chapter 2, practice problem 2/039: Ball bearings leave the horizontal trough with a velocity of magnitude u and fall through the 70 m m diameter hole as shown. In this question, we are told that bold waring. Ball Bearings Leave The Horizontal Trough.